✨Sách - Tuyển Tập 38 Đề Ôn Thi Tốt Nghiệp Lớp 12 - Môn Toán

Tuyển Tập 38 Đề Ôn Thi Tốt Nghiệp Lớp 12 - Môn Toán Bắt đầu từ năm học 2024 – 2025 học sinh lớp 12 tho tốt nghiệp môn Toán theo cấu trúc mới. Đây là một phương pháp khá hay để đánh giá toàn ...

mua sản phẩm tại ShopeeMua tại Shopeemua sản phẩm tại TikiMua tại Tikimua sản phẩm tại LazadaMua tại Lazadamua sản phẩm tại TiktokMua tại Tiktok
Sách - Tuyển Tập 38 Đề Ôn Thi Tốt Nghiệp Lớp 12 - Môn ToánSách - Tuyển Tập 38 Đề Ôn Thi Tốt Nghiệp Lớp 12 - Môn ToánSách - Tuyển Tập 38 Đề Ôn Thi Tốt Nghiệp Lớp 12 - Môn ToánSách - Tuyển Tập 38 Đề Ôn Thi Tốt Nghiệp Lớp 12 - Môn ToánSách - Tuyển Tập 38 Đề Ôn Thi Tốt Nghiệp Lớp 12 - Môn ToánSách - Tuyển Tập 38 Đề Ôn Thi Tốt Nghiệp Lớp 12 - Môn ToánSách - Tuyển Tập 38 Đề Ôn Thi Tốt Nghiệp Lớp 12 - Môn ToánSách - Tuyển Tập 38 Đề Ôn Thi Tốt Nghiệp Lớp 12 - Môn ToánSách - Tuyển Tập 38 Đề Ôn Thi Tốt Nghiệp Lớp 12 - Môn ToánSách - Tuyển Tập 38 Đề Ôn Thi Tốt Nghiệp Lớp 12 - Môn ToánSách - Tuyển Tập 38 Đề Ôn Thi Tốt Nghiệp Lớp 12 - Môn Toán

Tuyển Tập 38 Đề Ôn Thi Tốt Nghiệp Lớp 12 - Môn Toán

Bắt đầu từ năm học 2024 – 2025 học sinh lớp 12 tho tốt nghiệp môn Toán theo cấu trúc mới. Đây là một phương pháp khá hay để đánh giá toàn diện năng lực và học sinh sẽ phải học hiểu đúng bản chất kiến thức, tránh học vẹt, học tủ."

Nhằm tạo điều kiện cho Học sinh có nguồn tài liệu ôn tập cũng như Giáo viên có nguồn tài liệu tham khảo. Chúng tôi biên soạn cuốn sách TUYỂN TẬP 38 ĐỀ ÔN THI TỐT NGHIỆP LỚP 12 MÔN TOÁN. Cấu trúc cuốn sách gồm 38 đề ôn và sau đó là đáp án và lời giải 38 đề. Mỗi đề gồm có 3 phần theo đúng cấu trúc mới của BGD:

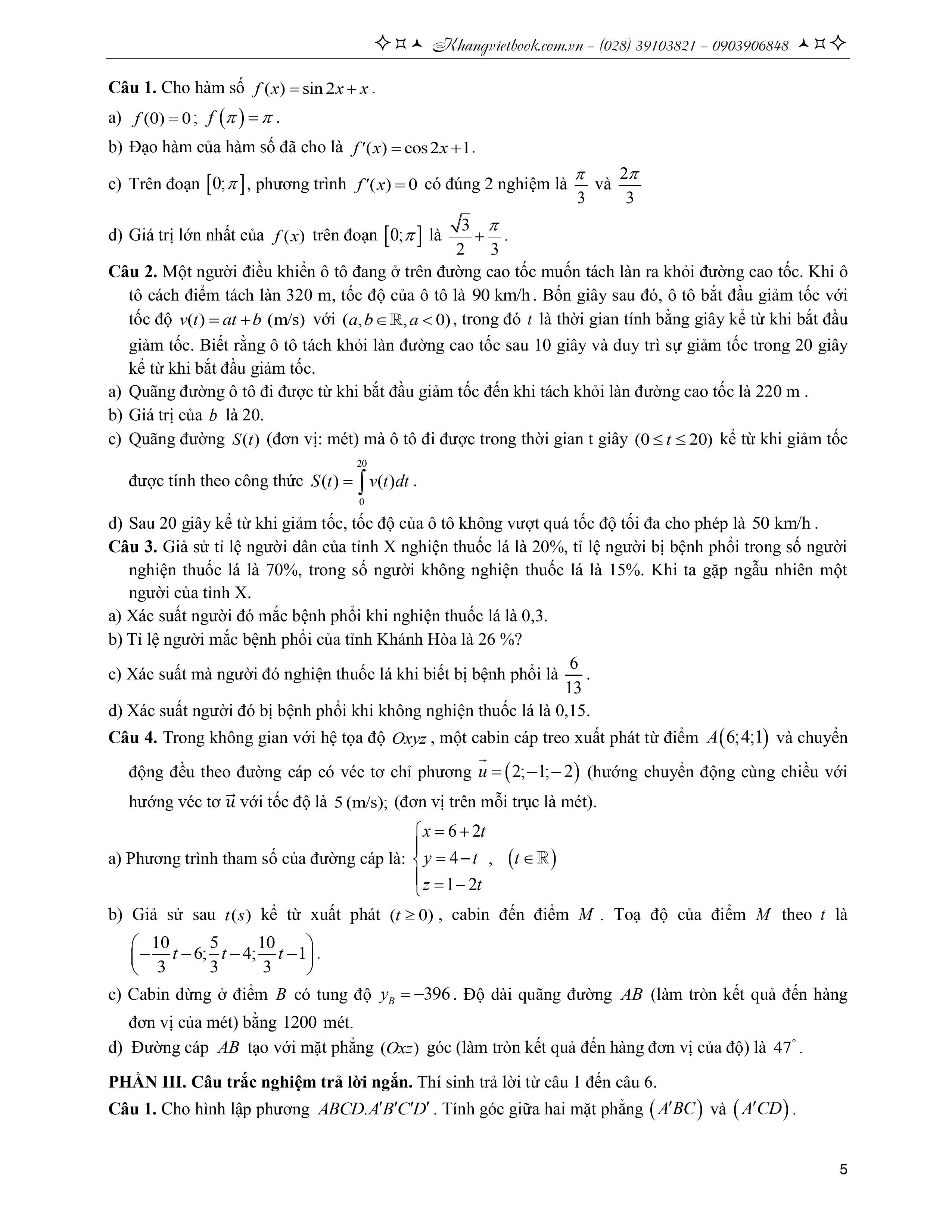
Phần 1. Trắc nghiệm nhiều phương án.

Phần II. Trắc nghiệm đúng sai.

Phần III. Trả lời ngắn.

Phần 1 có nội dung kiến thức nhận biết thông hiểu nên sách chỉ hướng dẫn giải những câu và những nội dung cần chú ý. Phần II và III có giải chi tiết và có nhiều bài toán hay, độc và lạ để Học sinh ôn luyện nhưng nội dung vẫn bám sát theo cấu trúc mới của BGD.

Cuốn sách được trình bày ngắn gọn, rõ ràng ràng với một lượng bài tập phù hợp và tương đối đầy đủ các dạng toán sẽ xuất hiện trong đề thi tốt nghiệp. Vì vậy đây là một tài liệu bổ ích để Học sinh có kiến thức vững chắc trước khi thi tốt nghiệp.

mua sản phẩm tại ShopeeMua tại Shopeemua sản phẩm tại TikiMua tại Tikimua sản phẩm tại LazadaMua tại Lazadamua sản phẩm tại TiktokMua tại Tiktok
Tìm Ý Qua Mặt Cắt (Tái Bản 2024) Paul Lewis, Marc Tsurumaki và David J. Lewis đã đúc kết một góc nhìn mới về khái niệm “mặt cắt”, được thể hiện qua sáu mươi ba
Mưa Đỏ Ấn Bản Đặc Biệt Bìa Cứng - Kèm Hộp Trong mùa phim “Mưa Đỏ” tạo cơn sốt mạnh mẽ, không chịu đứng ngoài dòng chảy cảm xúc ấy, bản sách Mưa Đỏ –
Bộ Manga - Given: Tập 1-3 (Bộ 3 Tập) 1. Given - Tập 1 Một ngày nọ, Uenoyama bắt đầu chán ghét mọi thứ, từ trái bóng rổ từng có hứng thú đến cây guitar
Bộ Manga - Given: Tập 7 - 9 (Bộ 3 Tập) Vòng đánh giá trình diễn tuyển chọn ban nhạc tham dự lễ hội âm nhạc kết thúc, những ngã rẽ mới trên con đường
Gia Tĩnh Linh Dị Lục - Tập 2 Chỉ vừa kịp nghỉ ngơi một đêm tại Túc gia sau vụ án “Vòng Bảy Người” đầy hiểm nguy, Túc Tiển và Ninh Hoàn đã tiếp tục
Người Họ Tư Vũ Đều Phải Chết “Người họ Tư Vũ đều phải chết, đây là yêu cầu của khách hàng.” Chỉ cần trả nhiều tiền, khách hàng có thể đặt ra đủ thứ quy
Nếu Ánh Trăng Không Ôm Lấy Em THÔNG TIN TÁC GIẢ Lục Mang Tinh – một Bảo Bình nhút nhát và táo bạo, giỏi viết những câu chuyện lãng mạn. Phong cách viết của cô
Công Viên Nhỏ - Tập 2 Lạnh lùng được chia thành nhiều kiểu. Kiểu của Lý Quỳ Nhất là tràn trề sức sống như một cái cây, còn trong mắt Hạ Du Nguyên, Lý Quỳ
Lập Trình AI Cho Người Mới Bắt Đầu - Để Không Bỏ Lỡ Xu Thế Của Thời Đại GIỚI THIỆU VỀ CUỐN SÁCH Trí tuệ nhân tạo (Artificial Intelligence - AI) đang làm thay đổi
Xuân Hinh - Kẻ Chọc Cười Dân Dã Suốt một thời gian dài, không ít lần tôi nhận được lời đề nghị cho ra đời một cuốn sách về bản thân m.ình. Tôi cũng từng
Xây Dựng Đảng Và Hệ Thống Chính Trị Trong Sạch, Vững Mạnh - Góp Phần Thực Hiện Thắng Lợi Nghị Quyết Đại Hội XIII Của Đảng Cuốn sách “Xây dựng Đảng và hệ thống chính
Truyện cổ Nhật Bản được hình thành từ lâu đời và là một trong những nghệ thuật văn học dân gian lâu đời tại quốc gia này. Những câu truyện cổ tích xuất phát từ
Sứ Mệnh Hail Mary - Project Hail Mary Top 100 cuốn sách hay nhất thế kỷ 21 do độc giả New York Times bình chọn TÁC PHẨM BÁN CHẠY SỐ 1 TRÊN NEW YORK TIMES
Án Vô Danh Triều Đường - Quỷ Môn Liêu Về tác giả: Viễn Ninh là nhà văn chuyên viết tiểu thuyết trinh thám lịch sử, thành viên trực thuộc Hội nhà văn tỉnh Liêu Ninh.
Bên Kia Vùng Biển Sáng Trăng Nội dung chính Olivia Hamilton, một cô gái trong sáng và thuần khiết, như ý nguyện được kết hôn với tình yêu của đời m.ình, Dean, chàng phi công
Giả Đứng Đắn - Tập 1 Trong lúc hẹn hò, Khánh Vy thề đôi ta sẽ không rung động. Sau khi chia tay, Viết Hoàng nói xin hãy cho nhau cơ hội mở lòng. Mọi
Kiêu Hãnh Và Định Kiến Kiêu hãnh & Định kiến là một trong những kiệt tác bất hủ của Jane Austen – không chỉ kể câu chuyện tình yêu lãng mạn, mà còn phơi bày
Ngôi Làng Bị Phong Ấn GIỚI THIỆU TÁC GIẢ: NGỌC LINH Ngọc Linh là một cây bút yêu những mộng mơ và say mê chuyển hóa chất thơ vào từng câu chữ. Với lối viết
Đừng Nhặt Bạn Trai Trong Thùng Rác - Tập 7 Giới thiệu: Vốn đang đứng trên đỉnh cao của sự nghiệp, Trì Tiểu Trì đã rơi vào hôn mê sâu sau một vụ tai nạn
Mỗi Lần Tỉnh Dậy Đều Trở Thành Nghi Phạm - Tập 1 Tưởng Thiên Du là cảnh sát đặc nhiệm tại ngũ, cô bị thương nặng và rơi vào hôn mê sâu trong một lần
Bước ra từ trung tâm cai nghiện m.a túy, Mallory Quinn nhận công việc trông trẻ cho cặp vợ chồng Ted và Caroline Maxwell. Cô chăm sóc cho cậu con trai năm tuổi của họ,
Đ.ịa Cầu Online - Tập 3 Giới thiệu: Hàng loạt tòa tháp đen kỳ lạ thình lình xuất hiện trên toàn cầu, bất kỳ nơi nào, bất kỳ thành phố nào cũng có thể nhìn
Tiệm Giặt Là Nhà Minato - Tập 4 Minato Akira, chàng quản lý 30 tuổi của một tiệm giặt là, bị cậu học sinh cấp ba Shin theo đuổi quyết liệt. Không thể đáp lại
Khế Ước Bán Dâu Bước chân vào làm dâu nhà phú hộ họ Vũ nức tiếng vùng Kinh Bắc, cô gái thôn quê Nhài ôm ước vọng đổi đời. Thế nhưng, dưới lụa là gấm
Triệu Phú Khu Ổ Chuột Tại sao một bồi bàn không xu dính túi tại Mumbai lại phải ngồi sau song sắt nhà tù? Đó là vì: a)Anh ta đã đánh khách hàng; b) Anh
Couple Này Chú Không Ship Sao - Tập 2 Trải qua bao phen chật vật giấu giếm rồi lại lộ bí mật, Giản Minh Chu ngỡ rằng cuộc sống của m.ình có thể bình lặng
Vị Ngây Thơ Một tên tội phạm đang săn lùng những thiếu nữ tuổi vị thành niên, nhưng hắn không chọn mục tiêu ngẫu nhiên mà chỉ những cô gái trẻ còn trong trắng mới
Cuộc Hội Ngộ Văn Chương Và Nghệ Thuật - Văn Học Và Các Loại Hình Nghệ Thuật Khác Những năm bảy mươi của thế kỷ trước, ngành giáo dục nước ta chưa có hệ đào
SÓI GIÀ Phố Wall - Phần 2 Cuốn hồi ký không nên đọc ngắt quãng được viết bởi “Chủ nhân trẻ của vũ trụ phố Wall” Sói già Phố Wall là cuốn tự truyện của
Chân Tướng Thất Lạc CHÂN TƯỚNG THẤT LẠC của Lộ Hiểu mở ra cánh cửa dẫn người đọc bước vào những câu chuyện bí ẩn xoay quanh những vùng đất và sự kiện kỳ lạ
Dưới Bóng Trăng Ngà - Câu Chuyện Về Chuyến Phiêu Lưu Của Bé Thỏ Cải Xoong Mang âm hưởng và tinh thần vượt thời gian của tác phẩm kinh điển Gió qua rặng liễu, cuốn
THÔNG TIN TÁC PHẨM - Tên tác phẩm: Linh Điểu - Tác giả/Dịch giả: Nguyễn Văn Học - Thương Hiệu: SBOOKS - Nhà xuất bản: NXB Văn Học - Năm xuất bản: 2025 - Loại
Closed Casket - Áo Quan Đóng Nắp Sophie Hannah, tác giả được chọn chắp bút bà hoàng trinh thám Agatha Christie, đưa thám tử đại tài Hercule Poirot tái hợp thanh tra Edward Catchpool —
Ma Trùng - Tập 2 - Đen Trắng Cơn ác mộng bốn năm trước lại tái diễn! Thành phố xảy ra vụ giết người hàng loạt, ba nạn nhân liên tiếp đều là phụ nữ
Cánh Chim Bất Tử - Câu Chuyện Về Người Phi Công Huyền Thoại Nguyễn Văn Bảy “Cánh Chim Bất Tử - Câu chuyện về phi công huyền thoại Nguyễn Văn Bảy” là cuốn sách chân
Thiên Quan Tứ Phúc - Tập 2 Sau khi giải quyết vụ Quỷ tân lang ở núi Dữ Quân, Tạ Liên chọn một ngôi nhà bỏ hoang ở thôn Bồ Tề làm đạo quán cho
Thiên Quan Tứ Phúc - Tập 2 Sau khi giải quyết vụ Quỷ tân lang ở núi Dữ Quân, Tạ Liên chọn một ngôi nhà bỏ hoang ở thôn Bồ Tề làm đạo quán cho
Anne Tóc Đỏ Làng Avonlea Mới ngày nào cô bé Anne mặt tàn nhang và dễ kích động vừa mới đặt chân lên đảo Hoàng Tử Edward đã gây bao xôn xao, xáo trộn. Vậy
Ký Sự Pháp Y - Khi Tử Thi Kể Chuyện Bạn nghĩ một cuốn sách viết về cái chết sẽ chỉ toàn một màu u ám và rùng rợn? Vậy thì Ký Sự Pháp Y
Những Cánh Thư Ra Bắc Vào Nam “Những cánh thư ra Bắc vào Nam” là tập hợp 73 bức thư của Đại tướng Nguyễn Chí Thanh và gia đình, viết trong gần 20 năm (1948–1967),
Liệu Có Sai Lầm Khi Tìm Kiếm Cuộc Gặp Gỡ Định Mệnh Trong Dungeon - Tập 11 Danh tiếng của Little Rookie đã rớt xuống đáy vực. Bell đã đánh mất niềm tin của mọi
Tổng Ôn Địa Lí - Tập 1 1. Nội dung sách: Bộ sách được chia làm 2 tập: - Tập 1: Số liệu - Biểu đồ , địa lí tự nhiên địa lí dân cư
Nghề Viết Tiểu Thuyết Viết tiểu thuyết là một hành trình đơn độc, một cuộc đào sâu vào tận đáy ý thức, nơi những câu chuyện chờ được khai quật. Trong Nghề viết tiểu thuyết,
Phương Pháp Giải Toán Chuyên Đề Đại Số 10 (Biên Soạn Theo Chương Trình Giáo Dục Phổ Thông Mới - Dùng Chung Cho Các Bộ SGK Hiện Hành) - Các em nên đọc phần tóm
Sói Già Phố Wall - Phần 3 Jordan Belfort với vẻ ngoài lịch lãm, cuốn hút cùng tài ăn nói khéo léo. Từ một kẻ vô danh tiểu tốt trở thành một ông trùm chứng
[Light Novel] Hell Mode - Game Thủ Xuất Chúng Tung Hoành Chốn Dị Giới Hỗn Nguyên - Tập 1 Một thế giới nhàm chán như trong các game dễ ăn thì chẳng có gì thú
Nhật Ký Của Bố - Hành Trình 19 Năm Trưởng Thành Cùng Ngưu Ngưu Có một món quà vô giá mà bố mẹ có thể dành cho con - Đó là lưu giữ trọn vẹn
Đời Sống Tỉnh Thức Cuốn sách là đúc kết của tác giả về cuộc sống, vẻ đẹp của cuộc sống là sự bất toàn và hành trình đẹp nhất nằm ở chỗ chúng ta không
Kitayama Shizuku, bạn cùng lớp của Miyuki sẽ đi du học ở USNA (Hợp chúng quốc Bắc Mỹ). Trong thời đại này, để tránh thất thoát gien di truyền cũng như tài nguyên quân sự,
Ma Trùng - Tập 1 - Dị Thể Dụ Hành xòe lòng bàn tay, trong tay gã là một con côn trùng hình que màu đỏ sẫm. Con bọ thoắt cái sống dậy, nhảy lên
Cha Và Con “Điều quan trọng duy nhất là hai lần hai là bốn còn mọi thứ khác đều vô nghĩa.” Khi Arkadi, chàng sinh viên mới tốt nghiệp về nhà, cha và ông bác
Tỉnh Giấc Tan Mộng - Người Bên Gối Đã Không Còn "Quách Phương, kiếp sau cậu đừng làm con gái của nhà họ Ngô, cũng đừng làm vợ của Tần Duật. Thành hoa cũng được,
86-EIGHTY SIX - Alter.1 - Đôi Nét Thanh Xuân Của Tử Thần Tận hưởng tuổi trẻ thì đâu phân biệt địa điểm. Dù là ở giữa chiến trường, họ vẫn đã có “thanh xuân”. Trên
Tài Liệu Ôn Tập Toán 9 Nhằm đáp ứng nhu cầu củng cố kiến thức và kĩ năng giải toán cho học sinh lớp 9, nhóm tác giả trân trọng giới thiệu đến quý thầy
Ghost Hunt - Tập 4 - Trò Chơi Vong Hồn “Hội chứng rối loạn phân li tập thể” là từ ngữ được cánh truyền thông sử dụng khi đề cập đến chuỗi các sự kiện
Về Với Gia Đình Nhà xuất bản : Nhà Xuất Bản Văn Học. Công ty phát hành : Đông A. Tác giả : Hector Malot. Kích thước : 20.5 x 13.5 x 1.6 cm. Số
Hẹn Gặp Chúng Mình Ở Phiên Bản Tốt Hơn Nhà xuất bản : Nhà Xuất Bản Văn Học. Công ty phát hành : Người Trẻ Việt. Tác giả : Jinie Lynk. Kích thước : 20.5
Lần Đầu Tiên - Hajimette No “Lần đầu tiên” luôn thật đau đớn, nhưng cũng thoáng dịu dàng. Lần đầu tiên mang trong tim những cảm xúc không thể ngỏ, cũng là lúc hiểu được
Tìm Lại Chính Mình Trong Lưng Chừng Ký Ức Có những điều chỉ có thể cảm nhận bằng trái tim, những câu chuyện chỉ có thể kể lại qua ánh mắt lặng lẽ giữa đêm
Mai Rồi Mưa Tạnh Trong Xuân Xưa cũ và mới mẻ... Cổ kính và hiện đại... Trầm mặc và nhiệt thành... Huế, của kí ức trẻ thơ, của tuổi xanh mến thương. Huế của Mạ,
Trang đầu 1 2 3 4 5 6 7 8 9 10 11 12 13 14 15 16 17 18 19 20 21 22 23 24 25 26 27 28 29 30 31 32 33 34 35 36 37 38 39 40 41 42 43 44 45 46 47 48 49 50 Trang cuối
👁️ 81 | ⌚2025-10-07 11:52:52.430
TÓM TẮT TOÀN BỘ TOÁN 12 ÔN THI TỐT NGHIỆP -CTM 2025
🔹 [Livestream] - CHỮA ĐỀ CHÍNH THỨC TOÁN 2022 - Đề số 1 - Tài liệu tham khảo đắt giá cho kỳ thi 2023
CHỮA ĐỀ MINH HỌA 2023 - MÔN TOÁN | Thầy Nguyễn Tiến Đạt
Toán học lớp 12 - Sách mới - Ôn tập thi tốt nghiệp và đại học THPT - Chủ đề 1 - Xác suất - Tiết 2
Toán học lớp 12 - Sách mới - Ôn tập thi tốt nghiệp và đại học THPT - Chủ đề 1 - Xác suất - Tiết 1
Tuyển Tập 38 Đề Ôn Thi Tốt Nghiệp Lớp 12 Môn Toán

QC Shopee
KHÁCH HÀNG VUI LÒNG ĐẶT 1 ĐƠN TỐI ĐA 5 LỐC GIÚP EM Ạ.   Green Bird Hạt Chia là sự kết hợp giữa yến sào thật và hạt chia hữu cơ, mang lại thức
Chất Vải Lụa Pháp Cao Cấp Hoặc Vải Gấm Tuỳ Màu Và Size Nên Chất Vải Khác Nhau Quần Ống Rộng Cổ Áo Chui Không Cài Nút BÁN LẺ GIÁ SỈ Chú Ý Khi Đặt
SÉT BỘ ĐỒ NỮ PHỐI HỌA TIÊT THÊU LOGO SANG TRỌNG SIÊU XINH ĐẸP TRẺ TRUNG THỜI TRANG ĐỒ BỘ CAO CẤP ️ Bao kiểm hàng text hàng trước khi nhận, Nhận không ưng vẫn
Đẹp Từng Đường Kim Mũi Chỉ, Hàng Đạt Chất Lượng Xuất Khẩu BÁN LẺ GIÁ SỈ Chú Ý Khi Đặt Hàng Nhớ Chọn Lấy Mã Miễn Phí Vận Chuyển Và Áp Dụng Mã Miễn Phí
Đồ Chơi Sưu Tầm Max Snack - Zuru 83186 MAX Snack là bộ đồ chơi lắp ráp độc đáo từ thương hiệu ZURU, mang đến trải nghiệm xây dựng và sưu tầm các món ăn
Đồ Chơi Sưu Tầm Max Retro - Zuru 83185 MAX Retro – Bộ sưu tập đồ chơi lắp ráp độc đáo từ thương hiệu ZURU, mang đến trải nghiệm thú vị khi xây dựng và
Phụ nữ à, hãy giữ cho mình một cái đầu lý trí và tỉnh táo trong tình yêu cũng như trong cuộc sống hôn nhân. Vì cái giá mà ta phải trả cho sự mù
Giá bộ: 256.000 VNĐ ----------- 1. BINH PHÁP TÔN TỬ TRONG KINH DOANH Công ty phát hành: First News - Trí Việt Tác Giả: Nhiều tác giả Ngày phát hành: 2019 Số trang: 200 trang
Giá bộ: 256.000 VNĐ ------------- 1. Giáo Dục Không La Mắng Công ty phát hành: First News - Trí Việt Tác Giả: Nobuyoshi Hirai Ngày phát hành: 2020 Số trang: 200 trang Kích thước: 14.5
Bộ sách gồm 2 tựa: Tự học tiếng Tây Ban Nha cho người mới bắt đầu và 3000 từ vựng tiếng Tây Ban Nha thông dụng, là lựa chọn lý tưởng cho những ai muốn
Combo: Sức Mạnh Của Sự Khác Biệt (2 Cuốn): Khác Biệt Hay Là Chết + Khác Biệt Để Bứt Phá ------------   1/ Khác biệt hay là chết : được đánh giá là một trong
Combo: Sức Mạnh Của Sự Khác Biệt (2 Cuốn): Khác Biệt Hay Là Chết + Khác Biệt Để Bứt Phá ------------   1/ Khác biệt hay là chết : được đánh giá là một trong
Giá bộ: 236.000 VNĐ ------------ 1. 7 THÓI QUEN CỦA BẠN TRẺ THÀNH ĐẠT Công ty phát hành: First News - Trí Việt Tác Giả: Sean Covey Ngày phát hành: 2022 Số trang: 200 trang
Nội dung cuốn sách Mind map chữ Hán theo Giáo trình Hán ngữ: Chương 1: Quá trình hình thành chữ Hán  Chương 2: Cấu tạo chữ Hán  Chương 3: Chiết tự chữ Hán Điểm đặc
Hẹn Gặp Lại, Quốc Vương Của Tôi - Tập 4 Có lẽ Quốc vương Mohemisi không thể ngờ rằng, chính em trai ruột của m.ình - Suter lại câu kết cùng thế lực thù địch
  COMBO HẠNH PHÚC TỰ THÂN + 10% HẠNH PHÚC HƠN HẠNH PHÚC TỰ THÂN Hành trình tìm hiểu bản thân, lắng nghe bản ngã của một cô gái trẻ để sống hạnh phúc, thanh
Combo Sức Mạnh Tiềm Thức + Sức Mạnh Của Trí Tuệ Cảm Xúc (Bộ 2 Cuốn) 1. Sức Mạnh Tiềm Thức Là một trong những quyển sách về nghệ thuật sống nhận được nhiều lời
Thông tin cuốn sách: Tên: Chiến thắng con quỷ trong bạn Tác giả: Napoleon Hill Dịch giả: Quyết Trần Thể loại: Hướng Nghiệp & Phát Triển Bản Thân NXB: Nxb Hà Nội Đơn vị liên kết
Combo Đánh Thức Con Người Phi Thường Trong Bạn + Đánh Thức Năng Lực Vô Hạn (Tái Bản) ------------   Combo Đánh Thức Con Người Phi Thường Trong Bạn + Đánh Thức Năng Lực Vô
Tác giả: Hồ Công Thiết Nhà phát hành: công ty tnhh sách và truyền thông việt nam Nhà xuất bản: Nxb. Thông tin và Truyền thông Ngày phát hành: 10/2022   Số trang: 308